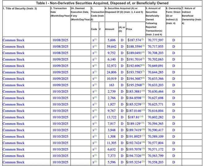
黄仁勋10月份持续卖出英伟达,已套现超1.1亿美元 炒股就看金麒麟分析师研报,权威,专业,及时,全面,助您挖掘潜力主题机会! 来源:中国基金报 在“AI芯片霸主”英伟达的股价飙升至历史新高之时,“掌门人”黄仁勋在10月份持续出售该股。 美东时间10月1... 97分享网 /热点资讯 /2025-10-12 /95 阅读
报告:商业健康险要完成从“边缘补充者”到“生态协同者”的转变,需聚焦三大方向 商业健康保险如何完成从“边缘补充者”到“生态协同者”的转变?最新发布的一份研究机构报告指出,需聚焦三个方向。 10月11日,安联集团与复旦大学联合成立的复旦安联金融保险研究中心发布《中国医疗健康保障体系转型... 97分享网 /热点资讯 /2025-10-12 /72 阅读